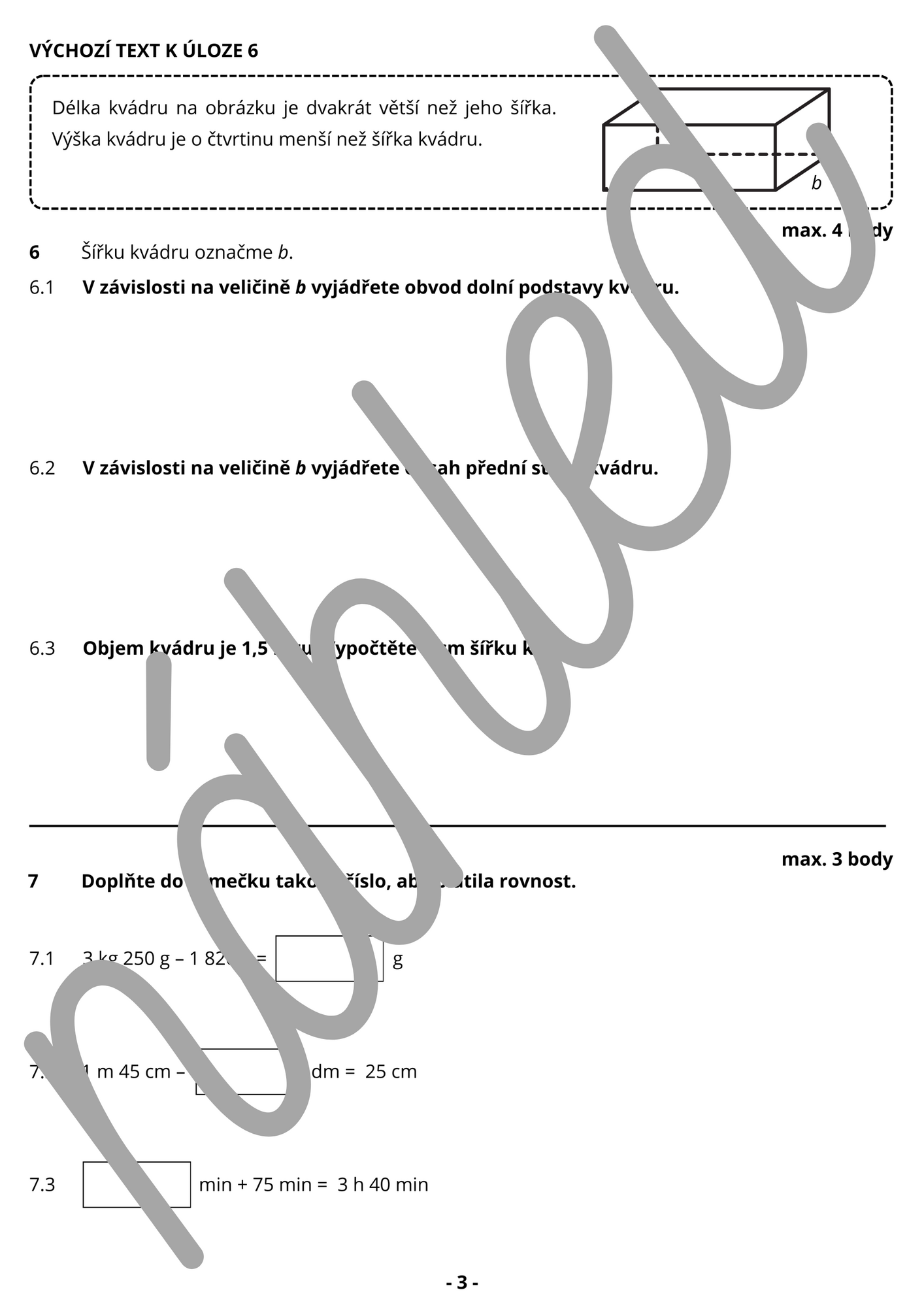
Vzdělávací materiál obsahuje cvičný didaktický test k přijímacím zkouškám z matematiky s vlastními originálními úlohami. Test je sestaven podle vzoru oficiálních testů (počet úloh, témata, body). Součástí jsou pokyny k testu, didaktický test, záznamové archy, klíč správných odpovědí a podrobné řešení všech úloh. Materiál stačí vytisknout a použít.
Didaktický test se skládá z 16 úloh (některé úlohy mají podúlohy). Část úloh má otevřené a část úloh uzavřené odpovědi. Tematicky pokrývá test všechna témata matematiky vyučovaná na 2. stupni ZŠ. Materiál je primárně určen jako příprava na přijímací zkoušky z matematiky na SŠ, ale je možné využít izolované úlohy i v nižších ročník v rámci opakování.
Pokyny k tisku pro žáka:
✔ Didaktický test (str. 4 - 14 oboustranně)
✔ Záznamový arch (str. 15 - 18 oboustranně)
Část pro vyučující:
✔ Klíč správných odpovědí - str. 19 - 21
✔ Podrobné vypracování všech příkladů - str. 22 - 31
Jedná se o vzdělávací materiál vhodný pro výuku matematiky na 2. stupni ZŠ, který rozvíjí kompetence k učení a k řešení problému.












